• Предмет: Математика
  • Автор: stabnikalex
  • Вопрос задан 3 года назад

даю много балов пж помогите​

Приложения:

stabnikalex: 1 уже не нужно

Ответы

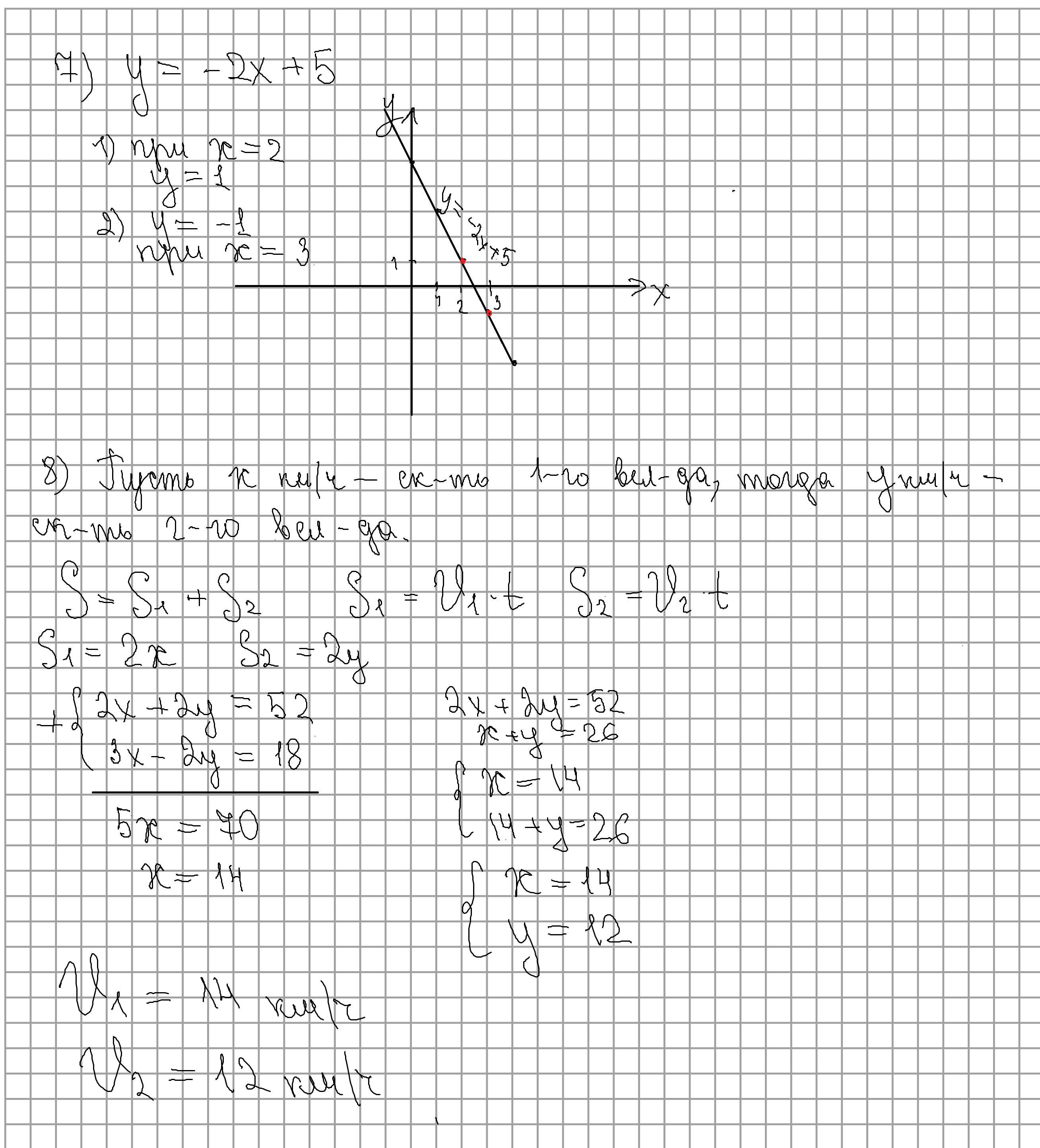
Ответ дал: kalinintalin
1

Ответ:

на фото

Пошаговое объяснение:

Приложения:
Ответ дал: Аноним
1

Ответ:

Нехай швидкість першого велосипедиста х км/ год, а другого у км/год

Тоді через 2 години перший до зустрічі проїхав 2х км а другий 2у км якщо перший велосипедист проїзджає за 3 години на 18 км більше  ніж другий за 2 години  то складемо систему рівнянь

\left \{ {2x+2y=52} \atop {3x-2y=18}} \right.

розвяжемо систему способом додавання

5х=70

х=70/5=14

швидкість першого велосипедиста 14 км/ год

14*3-2у=18

2у=24

у=24/2=12

швидкість другого велосипедиста 12 км/ год

Пошаговое объяснение:

Вас заинтересует