Две ракеты движутся равномерно и прямолинейно параллельными курсами в одном направлении со скоростью 0,6 с относительно Земли. В первой ракете происходят два последовательных события через промежуток времени 8 ч. Какое время прошло между этими событиями по часам наблюдателя, находящегося во второй ракете? По часам наблюдателя, находящегося на Земле?
Ответы
Ответ дал:
2
Ответ:
1. От наблюдателя находящегося Δt=5,06 часов
2. От наблюдателя с другой ракеты Δt=8 часам, то есть не меняется
Объяснение:
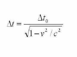
В этой задаче я использовал формулы из релятивисткой физики, то есть изменение времени за счет изменение скорости движения ( формулу я оставлю в виде фотографии )
1. Δt₀=Δt√1-v²/c² = 8*√1-0,6 = 8*√0,4 = 5,06 часов
Приложения:

Starpolaris33:
Помогите с физикой
Вас заинтересует
2 года назад
2 года назад
2 года назад
2 года назад
7 лет назад
7 лет назад
9 лет назад