• Предмет: Математика
  • Автор: Fanva
  • Вопрос задан 3 года назад

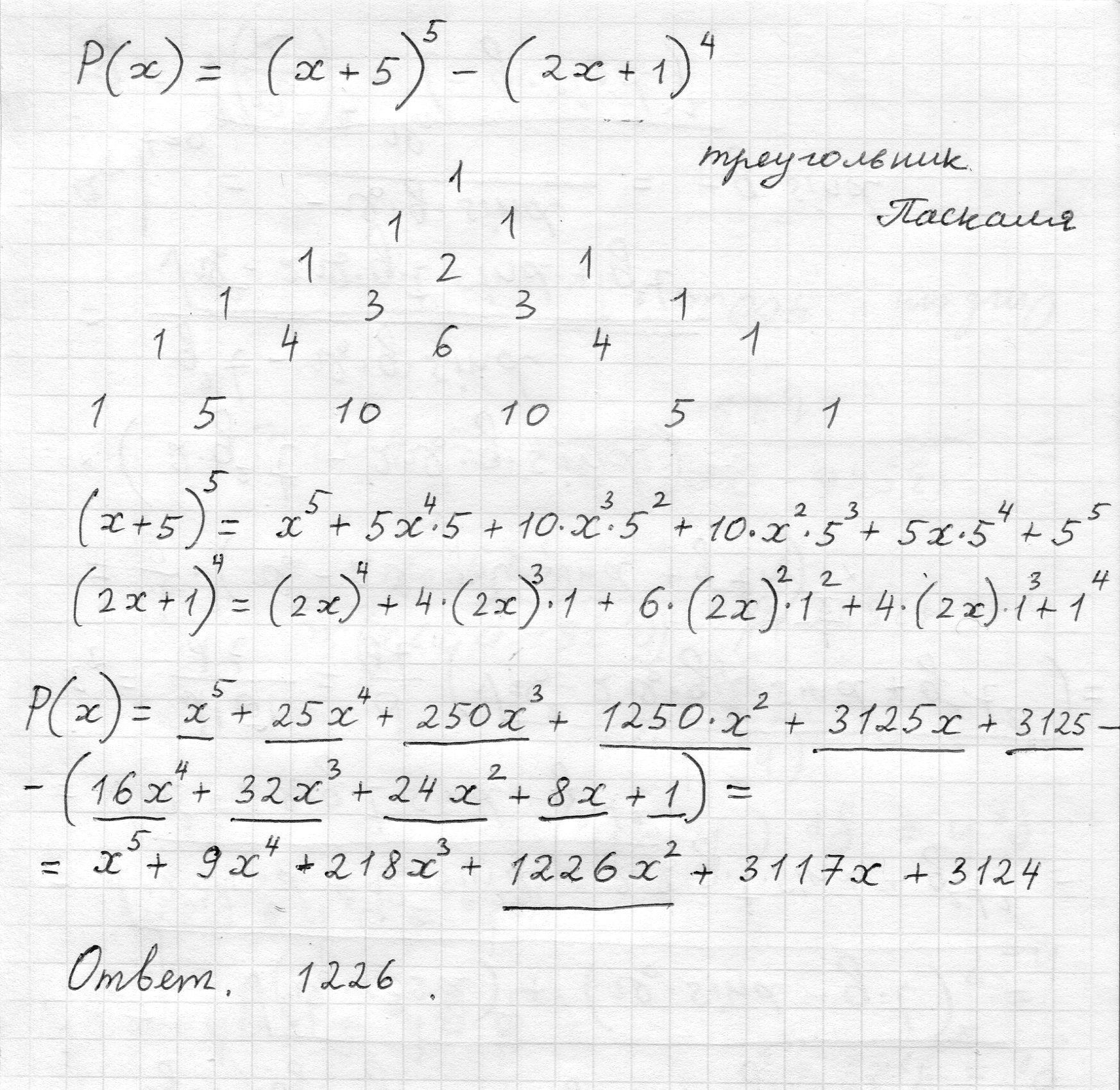
Найдите коэффициент при х^2 у многочлена Р (х) = (х + 5)^5 –(2х + 1)^4

Ответы

Ответ дал: Аноним
5

я написал решение на листочке ===>>

Приложения:
Вас заинтересует