• Предмет: Математика
  • Автор: dmitriyshapova1
  • Вопрос задан 3 года назад

Фабрика выпускает 75 % продукции первого сорта. Чему равна вероятность того, что из 300 изделий число первосортных изделий равно 220?

Ответы

Ответ дал: tpwklouist91
0

Ответ:

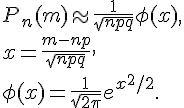
Вот это решается по формулу Локальная теорема Муавра-Лапласа

тут n=300, m=220, p=0.75, q=0.25.

Пошаговое объяснение:

Приложения:
Вас заинтересует