• Предмет: Математика
  • Автор: druidwarspear757
  • Вопрос задан 3 года назад

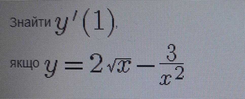
Найти у'(1),якщо y=2✓x-3/x2​

Приложения:

Ответы

Ответ дал: NNNLLL54
0

Ответ:

y=2\sqrt{x}-\dfrac{3}{x^2}\ \ ,\ \ \ x_0=1\\\\y'=\dfrac{2}{2\sqrt{x}}-\dfrac{-3\cdot 2x}{x^4}=\dfrac{1}{\sqrt{x}}-\dfrac{6}{x^3}\\\\\\y'(1)=1-6=-5

Вас заинтересует