Решите самостоятельную:
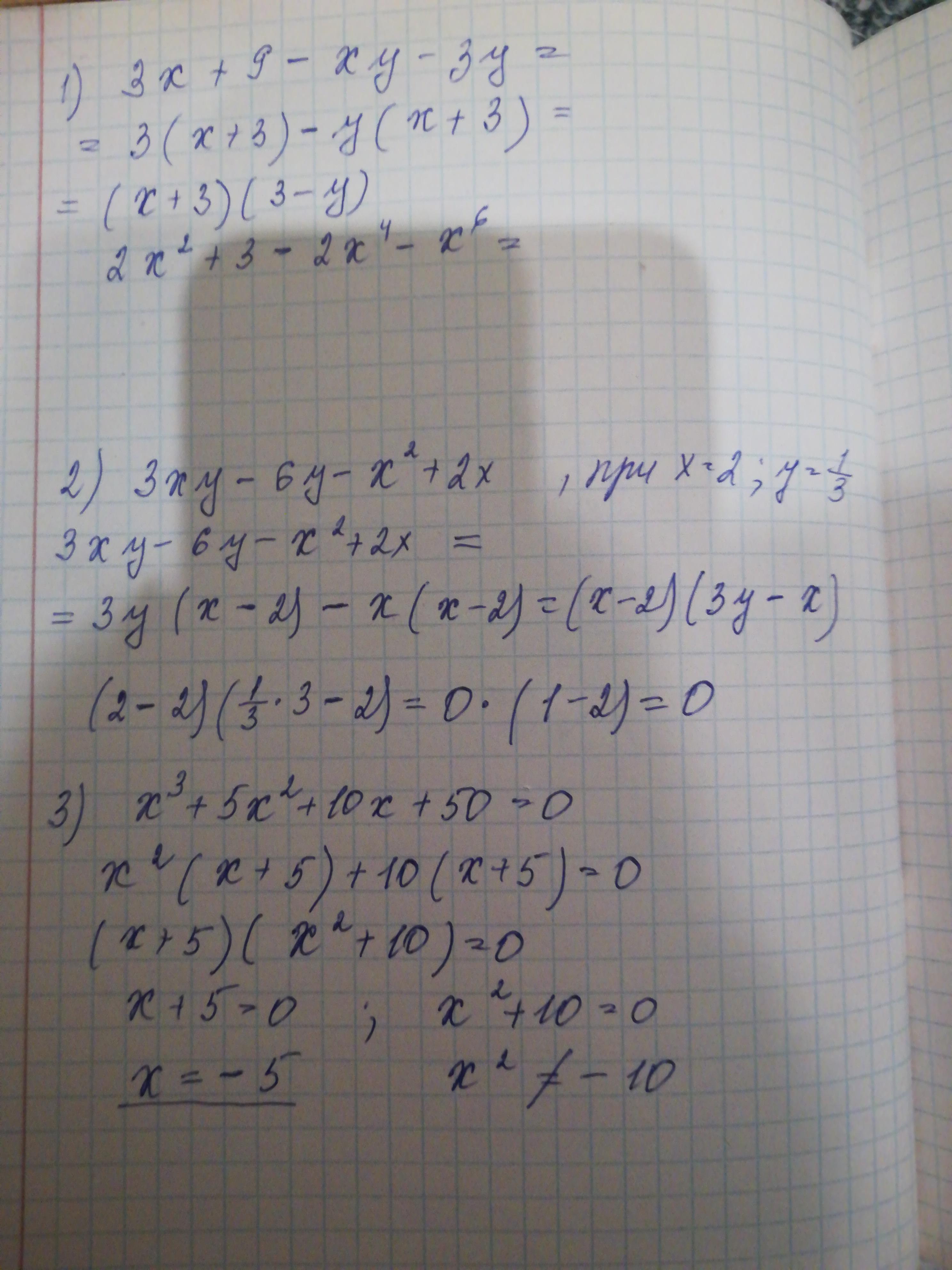
1. Разложите на множители
а) 3x+9-xy-3y; б) 2x^2+3-2x^4-x^6
2. Найдите значение выражения
3xy-6y-x^2+2x при x=2, y= -1/3 (дробь)
3. Решите уравнение x^3+5x2+10x+50=0
idrisova2712:
Посмотри первое задание пример б,правильно написано?
Ответы
Ответ дал:
0
Ответ:
Во вложении
Объяснение:
Приложения:

Вас заинтересует
2 года назад
2 года назад
2 года назад
7 лет назад
7 лет назад
9 лет назад