Ответы
Ответ дал:
2
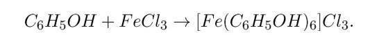
Качественной реакцией на фенол является реакция с хлоридом железа (III). К сильно разбавленному раствору фенола добавляем раствор хлорида железа. Жидкость в пробирке окрашивается в темно-фиолетовый цвет.
Приложения:

Вас заинтересует
2 года назад
2 года назад