• Предмет: Математика
  • Автор: finepi8251
  • Вопрос задан 3 года назад

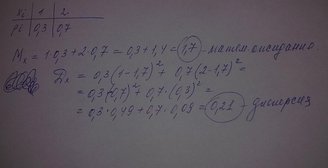
Решил задачу, правильно?

Приложения:

Ответы

Ответ дал: cepevig807
1

Ответ:

да правильно , дисперсия 0,21 и мат ожидание 1,7

Пошаговое объяснение:

Вас заинтересует