как написать эти примеры в excel? нужна помощь
Приложения:



dimon1976021:
какие формулы у этих примеров? можно подробное объяснение
Ответы
Ответ дал:
0
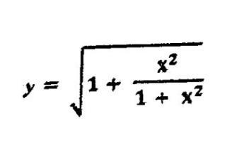
Ответ:
1 =КОРЕНЬ(1+x^2/(1+x^2))
2 =SIN(x*КОРЕНЬ(1+x))^2
3 =2*COS(x)^2
Вас заинтересует
2 года назад
2 года назад
2 года назад
7 лет назад