• Предмет: Алгебра
  • Автор: snastasnastas03
  • Вопрос задан 3 года назад

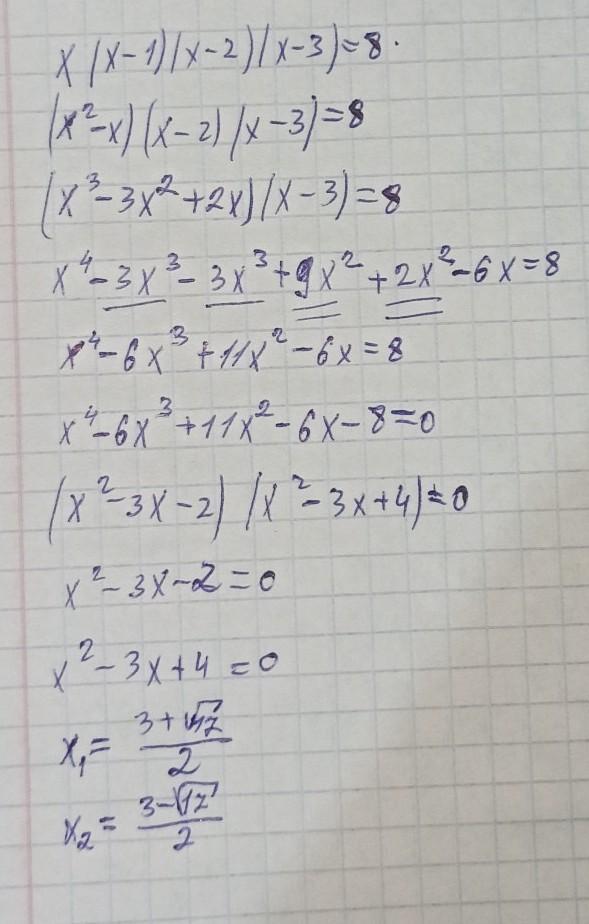
решите уравнение методом замены переменной x× (x-1)×(x-2)×(x-3)=8

Ответы

Ответ дал: daniil253813
0

Ответ:

x1=(3+√17)/2

x2=(3-√17)/2

Объяснение:

Объяснение на фото.

Приложения:

vityamath: где замена?
Вас заинтересует