• Предмет: Математика
  • Автор: VASKA57
  • Вопрос задан 3 года назад

МАТЕШААА РЕШИТЕ ПО ФАСТУ ПЖ

Приложения:

Ответы

Ответ дал: 422angel224
1

Ответ:

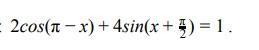
тут по формуле приведения получаем:

-2cosx+4cos x=1

2cosx=1

cosx=1/2

x=+-arccos1/2+2πn

x=+-π/3+2πn


VASKA57: Там эе вроде было 4sin, скажите пожалуйста куда 4 ушла
VASKA57: же*
422angel224: ой, потеряла 4 во время решения. спасибо, что сказали, сейчас исправлю
422angel224: все исправила
Вас заинтересует