• Предмет: Алгебра
  • Автор: Maria6800
  • Вопрос задан 3 года назад

Помогите пожалуйста)) ​

Приложения:

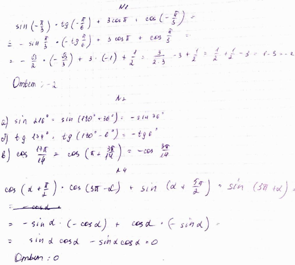
nktselepov: сверишь)
nktselepov: там не откопировалось полностью
nktselepov: <=
Maria6800: спасибо)
nktselepov: 1,2 и 4 надо?
Maria6800: да, желательно
nktselepov: я сдаюсь
nktselepov: единственное что решил это 1
nktselepov: -2 ответ
Maria6800: ну всё равно спасибо))))

Ответы

Ответ дал: 0Sunset0
0

Вроде так, но я не уверен

Приложения:
Вас заинтересует