• Предмет: Физика
  • Автор: stepanovigorek
  • Вопрос задан 3 года назад

Помогите физика закон ньютона задачка​

Приложения:

Ответы

Ответ дал: СовушкинДомик
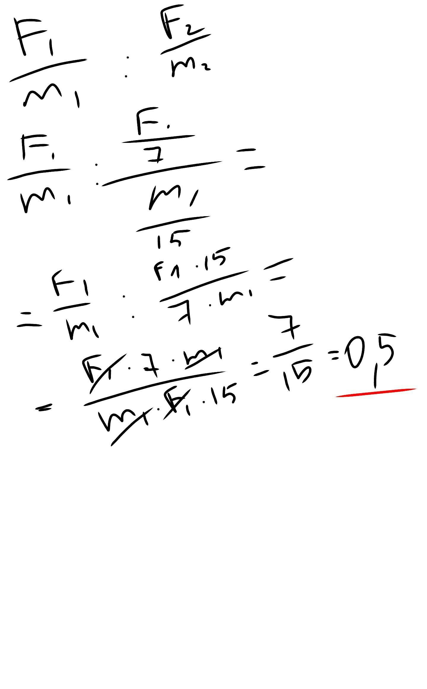
1
Решение на прикрепленном фото.

Ответ: увеличится в 2 раза
Приложения:
Вас заинтересует