• Предмет: Математика
  • Автор: nina12564zxcvnm
  • Вопрос задан 3 года назад

срочно пожалуйста!!!​

Приложения:

Ответы

Ответ дал: Аноним
1

Ответ:

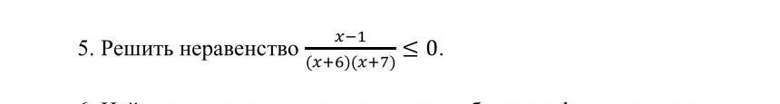
x/(x+6)(x+7) - 1/(x+6)(x+7)≤0

-6 < x ≤ 1

x < -7

Вас заинтересует