• Предмет: Химия
  • Автор: katastrofa02
  • Вопрос задан 3 года назад

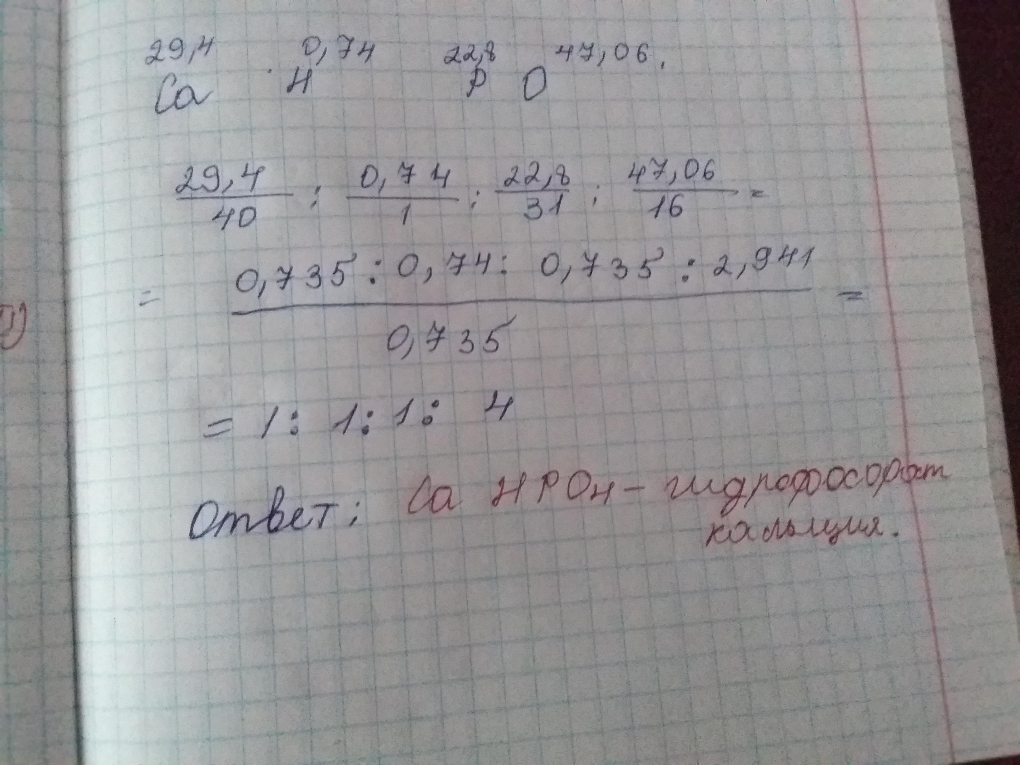
Вывести истинную формулу соединения, молекулярная масса которого равна 136, а содержание элементов: кальция – 29,4 % ; водорода – 0,74 %; фосфора – 22,8 % и кислорода – 47, 06 %.

Ответы

Ответ дал: Trgnbv
2

Ответ:на фото

Объяснение:

Приложения:
Вас заинтересует