20 баллов с решением
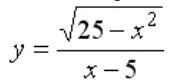
Количество целых чисел, принадлежащих
области определения функции равно ...
Приложения:

Ответы
Ответ дал:
0
Функция задана дробью, значит знаменатель не может быть равен 0, отсюда
Числитель представлен подкоренным выражением. Из корня нельзя извлечь отрицательное число, отсюда
Получаем промежуток [-5; 5], но 5 нам не подходит, т.к. Знаменатель не может быть равен 0. Теперь имеем промежуток [-5; 4]
Осталось посчитать кол-во целых чисел.
Ответ: 10 целых чисел
eugeneku:
Всё так, только 9 целых чисел, потому что 0 - не является целым числом.
Ответ дал:
0
Ответ: лбласть определения от - 5 (включая) до 5 (исключая). Целые числа - 5, - 4, - 3, - 2, - 1, 0, 1, 2, 3, 4. Итого 10 чисел.
Объяснение:
Вас заинтересует
2 года назад
2 года назад
2 года назад
7 лет назад
9 лет назад