20 баллов с решением
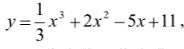
Количество целых чисел, принадлежащих
промежутку убывания функции y равно
Приложения:

Ответы
Ответ дал:
0
Ответ:
Примерно вот так мы решили
Приложения:

Вас заинтересует
2 года назад
2 года назад
2 года назад
7 лет назад
7 лет назад