• Предмет: Алгебра
  • Автор: llkk2003
  • Вопрос задан 3 года назад

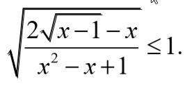
15 баллов решите неравенство пожалуйста

Приложения:

Ответы

Ответ дал: m11m
1

Ответ:

Объяснение:

!!!!!!!!!!!!!!!!!!!!!!!!!

Приложения:

llkk2003: Спасибо за решение, у меня есть другие вопросы по такой же тематике. Посмотрите, если не сложно.
Вас заинтересует