• Предмет: Геометрия
  • Автор: sbsjjsjssj
  • Вопрос задан 3 года назад

СРОЧНО!!! ДАЮ 30 БАЛЛОВ!!!! СРОЧНО!!!! 30 БАЛЛОВ!!!

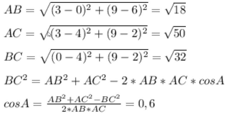
Найдите косинус угла С треугольника АВС, если А(3; 9), В(0; 6), С(4; 2).

Если не сложно решение на листке

Ответы

Ответ дал: xgamerxpowerp9qy5j
0

Ответ:

смотри ниже..

Объяснение:

Приложения:

sbsjjsjssj: нужен косинус С
xgamerxpowerp9qy5j: меняешь А на С просто
Ответ дал: dnepr1
0

cos C = (AC² + BC² - AB²)/(2*AC*BC) = (50+32-18)/(2/√50*√32) =

         = 64/(2* 7,071067812* 5,656854249) =  0,8 .

Вас заинтересует