• Предмет: Математика
  • Автор: orexix
  • Вопрос задан 3 года назад

ПОМОГИТЕ ПОЖАЛУЙСТА

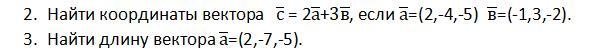
Приложения:

Ответы

Ответ дал: kalinintalin
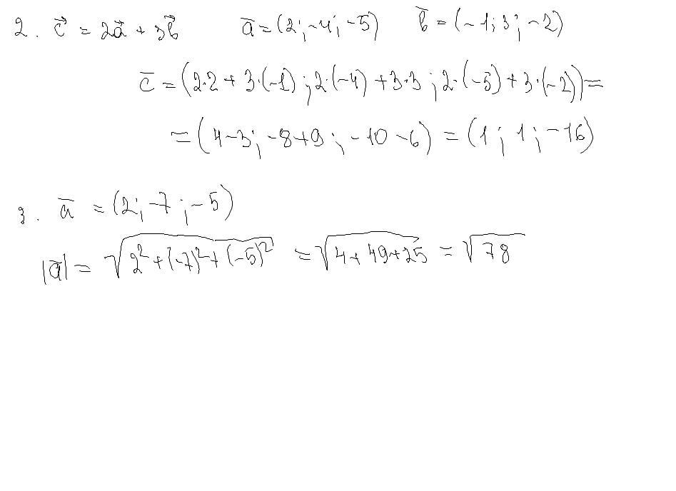
1

Ответ:

на фото

Пошаговое объяснение:

Приложения:
Вас заинтересует