ОЧЕНЬ СРОЧНО, РЕБЯТ! Завтра уже сдавать((
Пунктов не жалею!
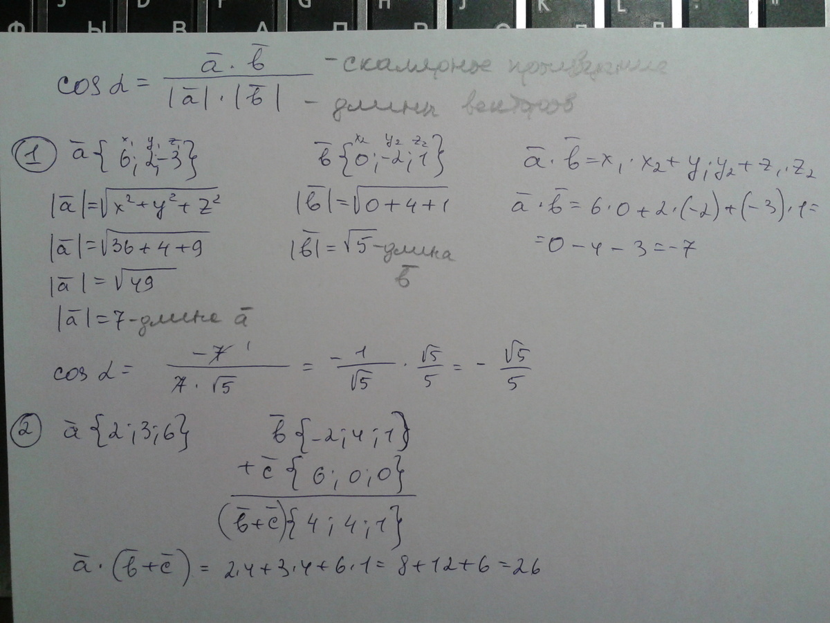
1. Чему равен косинус угла между вектором a{6;2;-3} и вектором b{0;-2;1}.
2. Век. a{2;3;6}, b{-2;4;1}, c{6;0;0}. Найти a*(b+c). (все - векторы).
3. т.А(3;-2;4), т.B(4;-1;2), т. C(6;-3;2), т.D(7;-3;1). Найти угол между AB и СD.
4. A(2;6;8), B(7;2;-2). C(4;5;8), D(0;7;3). Найти расстояние между серединами отрезков АС и BD.
5. Проверить компланарность векторов АB и CD, если:
a) A(2;4;6), B(0;3;-4). C(2;3;-3), D(0;5;4)
b) A(2;5;-3). B(0;4;2), C(-4;-4;1), D(4;2;0)
Ответы
Ответ дал:
0
Все формулы указала в решении.
Приложения:



Вас заинтересует
2 года назад
8 лет назад
8 лет назад
10 лет назад
10 лет назад