• Предмет: Математика
  • Автор: Аноним
  • Вопрос задан 3 года назад

Будьте добры,жду помощи

Приложения:

Ответы

Ответ дал: juliaivanovafeo
0

Ответ:

0,55 < p < 1

Пошаговое объяснение:

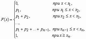
Функция распределения дискретной случайной величины имеет вид как на картинке ниже.

Поэтому, параметр  0,55 < p < 1, то есть может быть равен любому значению из диапазона чисел от 0,55 до 1, не включая границы 0,55 и 1.

Приложения:
Вас заинтересует