• Предмет: Физика
  • Автор: en578633
  • Вопрос задан 3 года назад

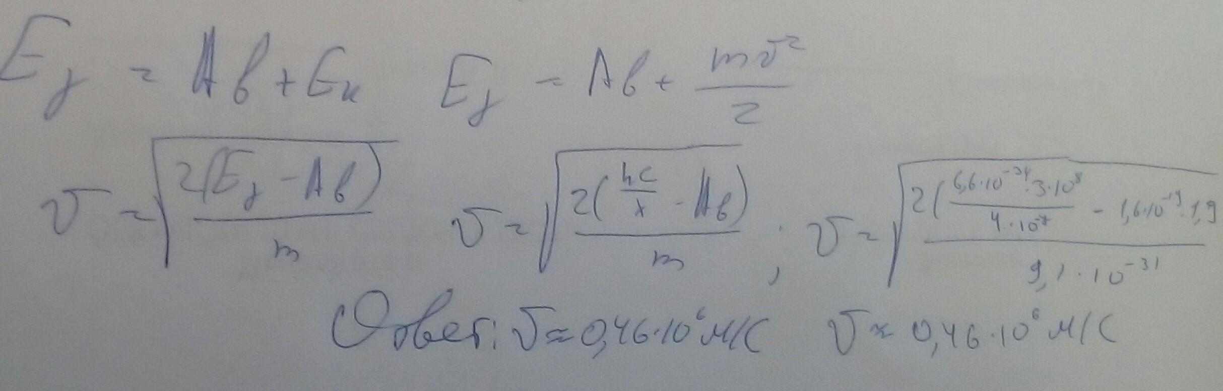
Найти максимальную скорость электронов,освобожлаемых при фотоэффекте светом с длинной волны4,10^7м с поверхности материала у которого рабочие выхода равна 1,9эВ(h=6,62*10^-34)

Ответы

Ответ дал: Luckyzizi
2

Ответ: решение во вложении

Приложения:
Вас заинтересует