Ответы
Ответ дал:
5
Ответ:
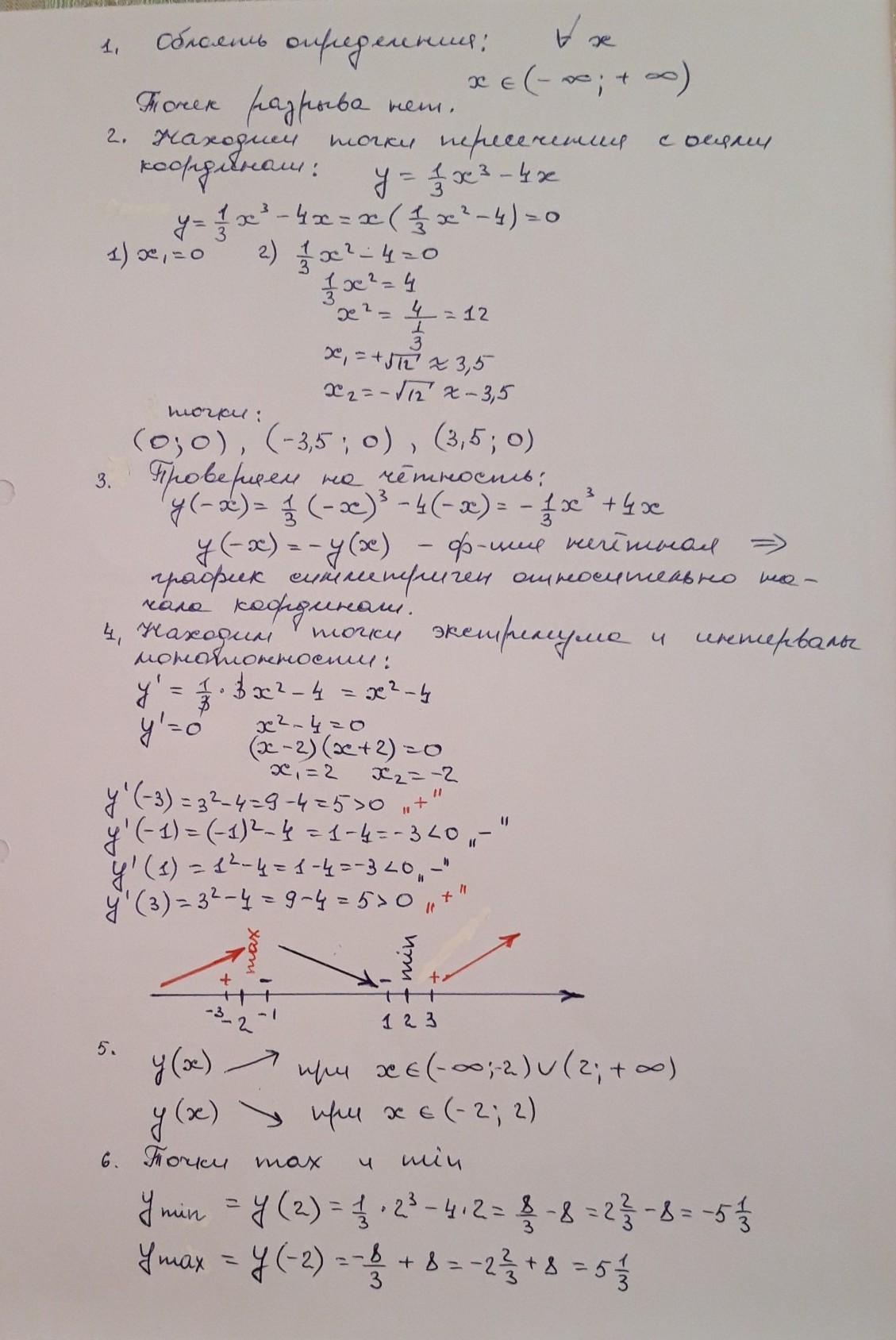
Исследовать функцию.
Приложения:


Вас заинтересует
2 года назад
2 года назад
2 года назад
7 лет назад
9 лет назад