• Предмет: Математика
  • Автор: contra14
  • Вопрос задан 3 года назад

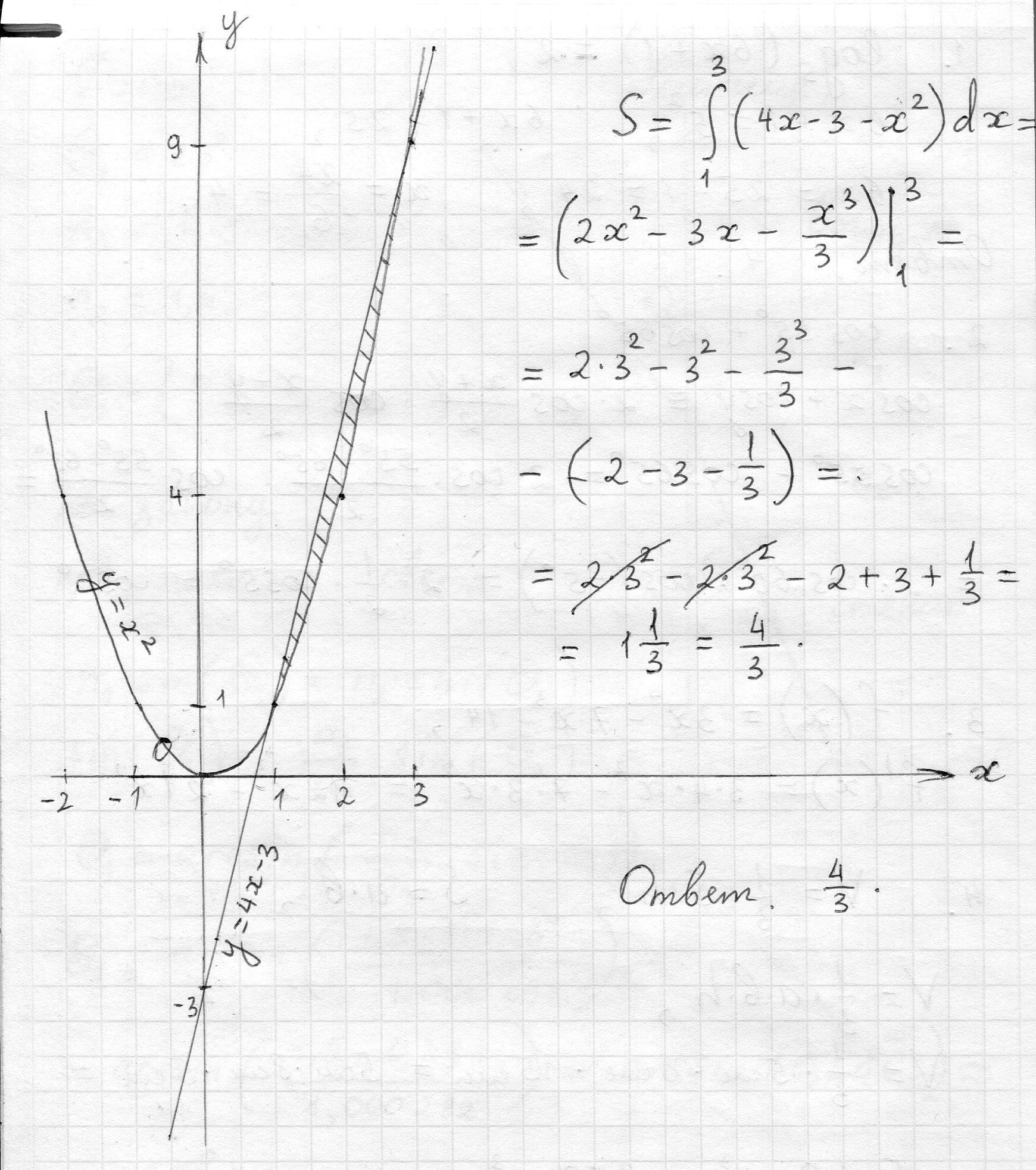
Вычислить площадь фигуры, ограниченной линиями: y=x^2 и y=4x-3. Обязательно с рисунком , пожалуйста

Ответы

Ответ дал: Аноним
5

я написал решение на листочке ===>>

Приложения:

contra14: Cпасибо большое!
Вас заинтересует