• Предмет: Математика
  • Автор: elizavetagorbacenko8
  • Вопрос задан 3 года назад

Помогите пожалуйста​

Приложения:

Ответы

Ответ дал: hddos
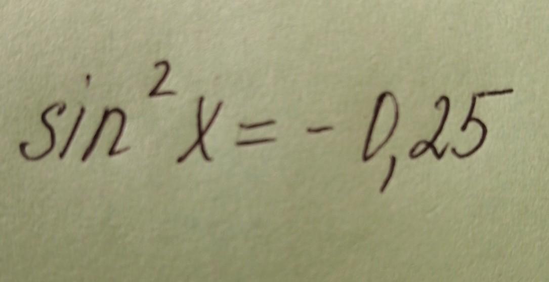
0

х∉R

Пошаговое объяснение:

Вас заинтересует