Ответы
Ответ дал:
0
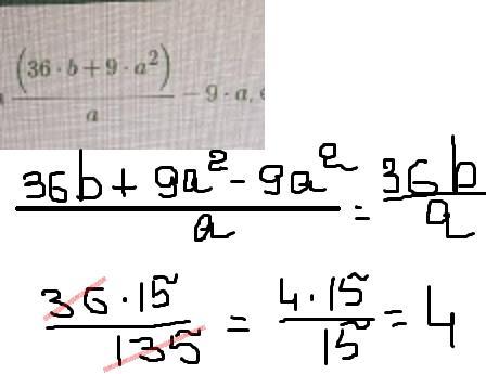
Ответ:
см фото
Пошаговое объяснение:
Приложения:

Вас заинтересует
2 года назад
2 года назад
2 года назад
7 лет назад
9 лет назад