• Предмет: Математика
  • Автор: RXV8
  • Вопрос задан 3 года назад

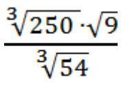
1. Упростить
2.Вычислить

Приложения:

Ответы

Ответ дал: gnomiha211
2
Решение на фотографиях
Приложения:

cooolery: первое неправильно
gnomiha211: это у вас неправильно
gnomiha211: там × 3 , а не +3
cooolery: простите спасибо
Ответ дал: cooolery
2

Пошаговое объяснение:

\frac{\sqrt[3]{250}*\sqrt{9}}{\sqrt[3]{54}}=\frac{\sqrt[3]{2}\sqrt[3]{125}*3}{\sqrt[3]{2}\sqrt[3]{27}}=\frac{\sqrt[3]{125}*3}{\sqrt[3]{27}}=\frac{5*3}{3}=\frac{15}{3}=5

9^{\frac{3}{2}}+27^{\frac{2}{3}}-(\frac{1}{16})^{-\frac{3}{4}}=(3^{2})^{\frac{3}{2}}+(3^{3})^{\frac{2}{3}}-(2^{4})^{\frac{3}{4}}=3^{3}+3^{2}-2^{3}=27+9-8=36-8=28

Вас заинтересует