Ответы
Ответ дал:
1
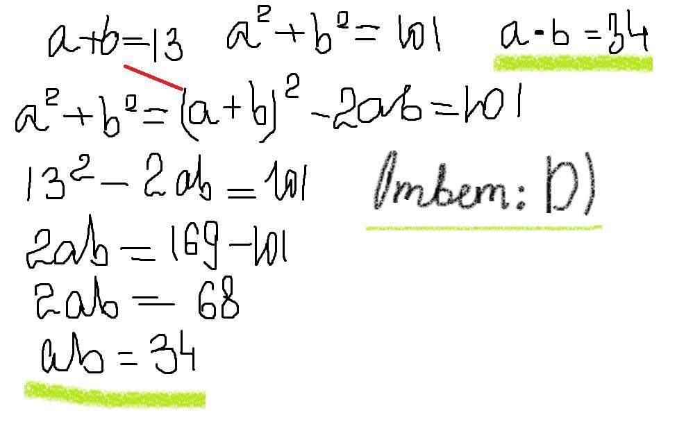
Ответ: D)
Пошаговое объяснение на фото:
Приложения:

Вас заинтересует
2 года назад
2 года назад
2 года назад
2 года назад
7 лет назад
9 лет назад