Ответы
Ответ дал:
0
Ответ:
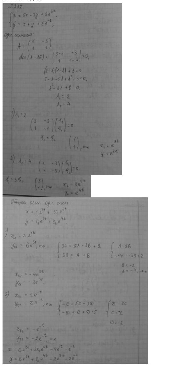
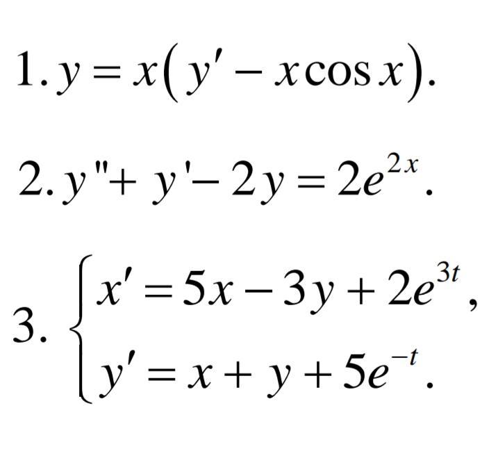
это к 3-ему , насчёт остальных неуверенна
Приложения:

Aidosssssss:
Плохо видно(((
Вас заинтересует
2 года назад
2 года назад
2 года назад
7 лет назад
7 лет назад