• Предмет: Математика
  • Автор: elmirayt923
  • Вопрос задан 3 года назад

4) пжж пж пж❤️ помогите​

Приложения:

Ответы

Ответ дал: Leksadreyar
1

Ответ:

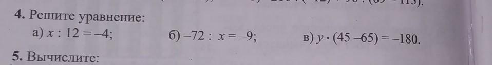
а) - 48

б) 8

в) 9

Пошаговое объяснение:

а) y : 12 = - 4

y = - 4*12

y = - 48

б) - 92 / x = - 9

x = - 72 : - 8

x = 8

в) y (45-65) = - 180

y (-20) = - 180

y = - 180 / - 20

y = 9


elmirayt923: кстати вы там 92 написали,надо 72) спасибо огромное за решение
Ответ дал: vikaykima228
1

Ответ:

a)-48 b)8 v)9

Пошаговое объяснение:

a)X=12*4

Х=-48

b)X=-72:-9

X=8

v)у=-180:(45-65)

у=-180:(-20)

у=9

Вас заинтересует