• Предмет: Математика
  • Автор: hehehehheg
  • Вопрос задан 3 года назад

ДАЮ 30 БАЛЛОВ!!!!!!!!!!!!!!!!!

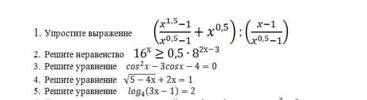
Номер 1

Приложения:

Ответы

Ответ дал: ivangamer99
0

Смотри фото, закрепил ответ

Приложения:

hehehehheg: Пж полное решение нужно
Вас заинтересует