Ответы
Ответ дал:
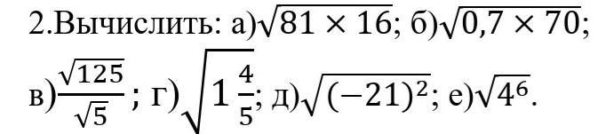
1
Ответ:
а) 36
б) 7
в) 5
г) дробь: числитель 3 корень 5, знаменатель 5
д) 21
е) 64
Приложения:

nikiarlzanlv:
можешь написать это все на листике пожалуйста тебе займёт это мару минут прошу
Вас заинтересует
2 года назад
2 года назад
2 года назад
2 года назад
7 лет назад
7 лет назад
9 лет назад