• Предмет: Математика
  • Автор: loliklolik513
  • Вопрос задан 3 года назад

Помогите решить, вопрос на фотографии

Приложения:

СовушкинДомик: То, что серым?
loliklolik513: 2 и 3 вопрос

Ответы

Ответ дал: СовушкинДомик
0
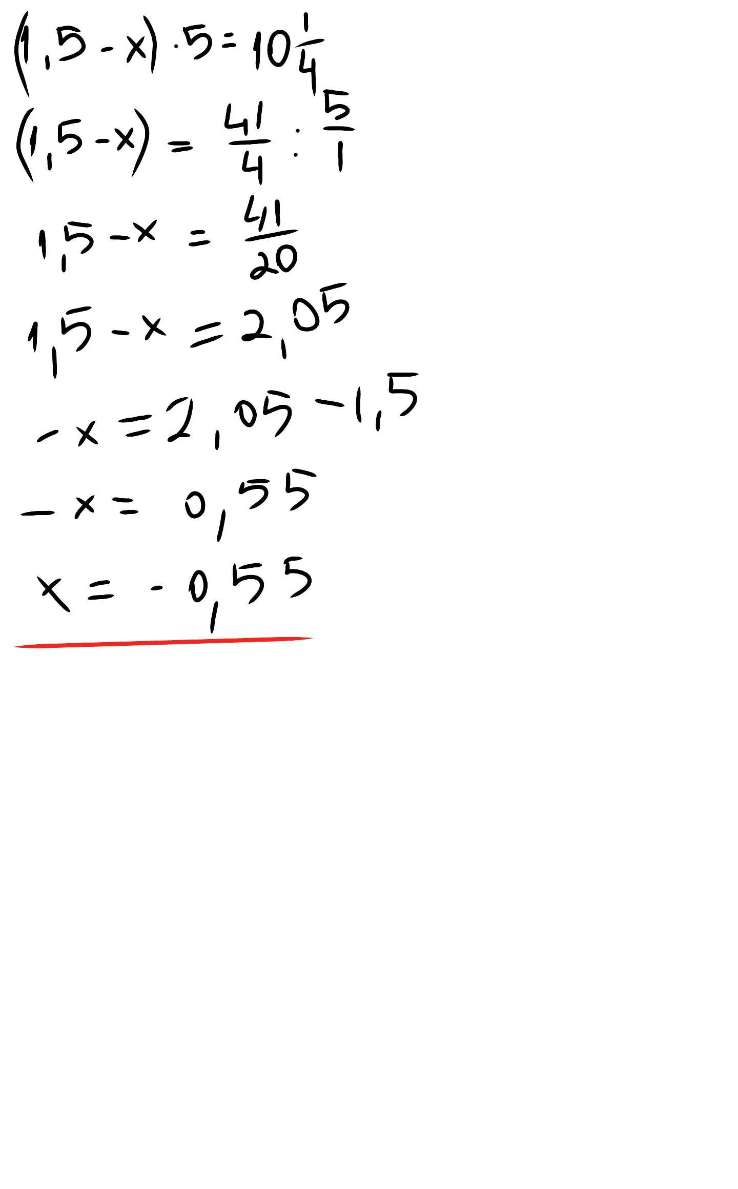
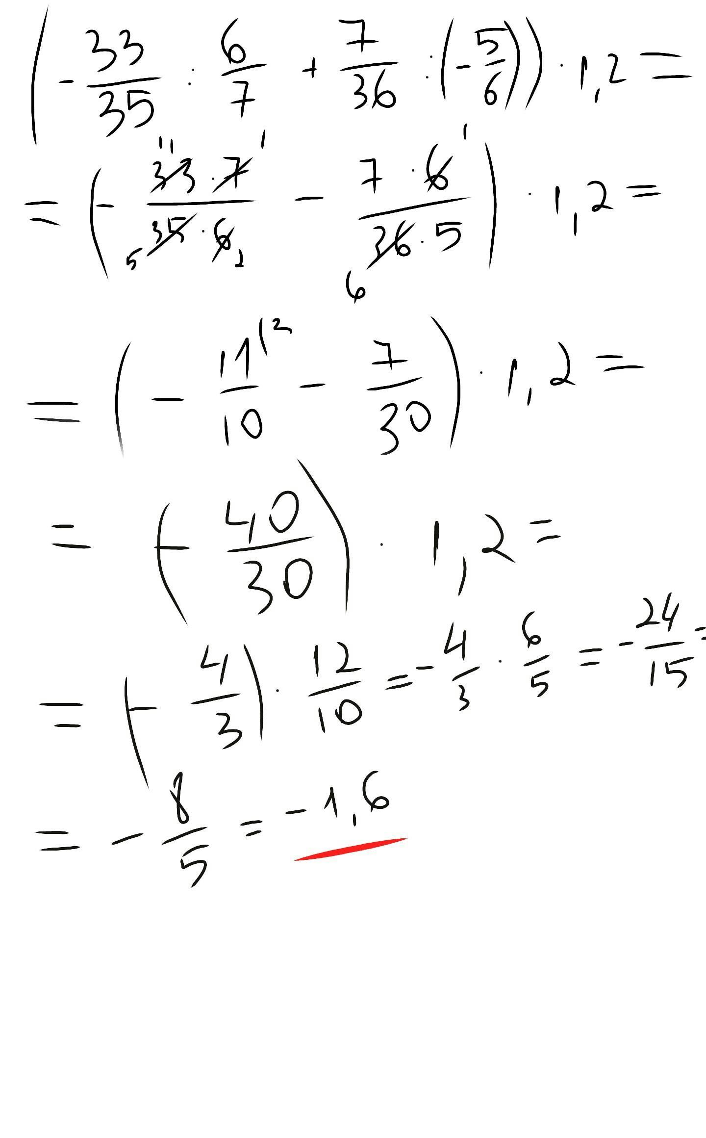
Решение на прикрепленных фото.

2) Ответ: -0,55

3) Ответ: -1,6
Приложения:
Ответ дал: iramazurk
0

1.

1) 2,2 * 13,1 = 28,82

2) -4,7 * 2,2 = - 10,34

3) 28,82 - (-10,34) = 39,16

2.

1,5 - х = 10 1/4 : 5

1,5 - х = 41/4 * 1/5

1,5 - х = 2 1/20

х = 1,5 - 2 1/20

х = 1 5/10 - 2 1/20

х = 1 10/20 - 2 1/20

х = 30/20 - 41/20

х = -11/20

3.

1) - 33/35 : 6/7 = -33/35 * 7/6 = -11/10

2) 7/36 : (-5/6) = 7/36 * (-6/5) = - 7/30

3) -11/10 + (-7/30) = -33/30 - 7/30 = - 40/30 = -4/3

4) -4/3 * 1,2 = -4/3 * 1 2/10 = -4/3 * 1 1/5 = -4/3 * 6/5 = -24/15 = -8/5 = -1 3/5

Вас заинтересует