• Предмет: Алгебра
  • Автор: Student194
  • Вопрос задан 3 года назад

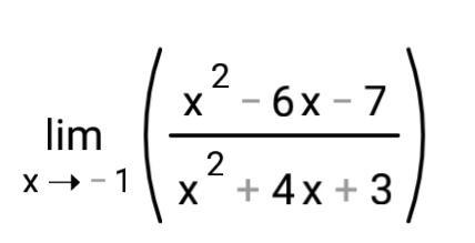
Вычислить предел функции

Приложения:

Ответы

Ответ дал: NNNLLL54
2

Ответ:

\lim\limits _{x \to -1}\dfrac{x^2-6x-7}{x^2+4x+3}=\lim\limits _{x \to -1}\dfrac{(x+1)(x-7)}{(x+1)(x+3)}= \lim\limits _{x \to -1}\dfrac{x-7}{x+3}=\dfrac{-8}{2}=-4


Аноним: Привет
Аноним: Как ты пишешь дроби?
NNNLLL54: Пользуюсь редактором формул LaTex
Аноним: Это программа
NNNLLL54: да
NNNLLL54: здесь он встроен...когда войдёшь в поле ответа , то внизу есть значёк
Аноним: Ok спасибо
Вас заинтересует