Ответы
Ответ дал:
1
Данное выражение заменяем равносильным ему.(Дробь заменяем произведением)
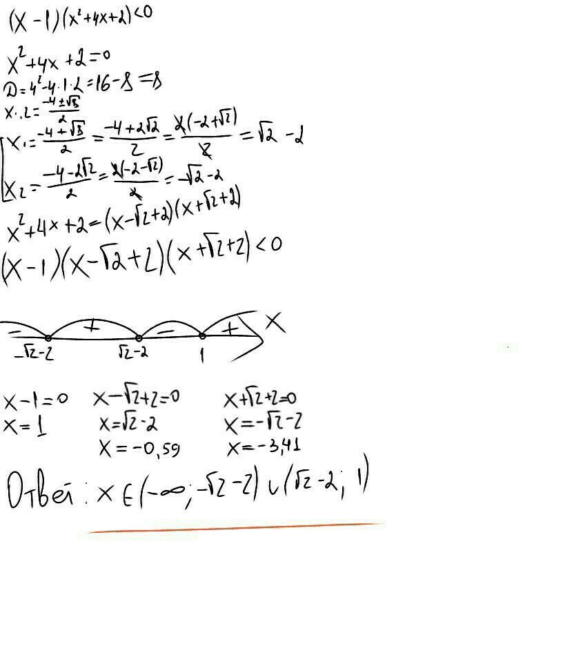
Решение на прикрепленном фото
Ответ: х принадлежит промежуткам (-∞;-√2-2) и (√2-2;1)
Решение на прикрепленном фото
Ответ: х принадлежит промежуткам (-∞;-√2-2) и (√2-2;1)
Приложения:
Milasss667:
спасибо большое!!!
Вас заинтересует
2 года назад
2 года назад
2 года назад
2 года назад
8 лет назад