• Предмет: Алгебра
  • Автор: thatbeuuu
  • Вопрос задан 3 года назад

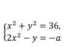
Найдите все значения параметра а, при которых система уравнений имеет только 3 решения. Если такое значение параметра единственное, то запишите его в ответ, если таких значений параметра несколько, то запишите в ответ их сумму.

Приложения:

Ответы

Ответ дал: GluV
1

Ответ:

а=-6

Объяснение:

Если x=b является решением системы, тогда x=-b тоже будет решением.

Поэтому сиcтема будет иметь три решения если одно из решений это x=0. Подставляем в систему и получаем y=6, a=6 и y=(-6) a=(-6)

При а=6 второе уравнение будет у=2х^2+6, парабола лежит выше окружности и пересекается с ней только в одной точке (0;6)

При а=-6 второе уравнение будет у=2х^2-6, парабола лежит ниже окружности и пересекается с ней в 3 точках, одна из которых  (0;-6)

Вас заинтересует