• Предмет: Алгебра
  • Автор: koti2260
  • Вопрос задан 3 года назад

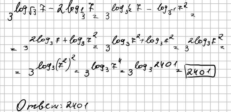
вычислить, логарифмы 10-11 класс​

Приложения:

Ответы

Ответ дал: Ilyazov45
1

Ответ:

2401

Объяснение:

Приложения:
Вас заинтересует