Как решить задание: ЗапишитеКак решить задание: Запишите многочлен в стандартном виде : в) 14b-(3a-7b) 3 Вынесите за скобки общий множитель многочлена . а) 15а+3b б) 14xy-28ay в)20а5d3-15d4
Ответы
Ответ дал:
0
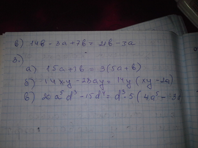
Смотри фото решение на листе
Приложения:

Ответ дал:
0
В)Многочлен в стандартном виде-это,когда все скобки раскрыты и никаких вычислений сделать нельзя
14b-(3a-7b)
14b-3a+7b=21b-3a
а) 15а+3b =3(5а-b)
б) 14xy-28ay=14y(x-2a)
в)20а5d3-15d4 =300ad-60d=60d(5a-1)
Что не понятно спрашивай)))
14b-(3a-7b)
14b-3a+7b=21b-3a
а) 15а+3b =3(5а-b)
б) 14xy-28ay=14y(x-2a)
в)20а5d3-15d4 =300ad-60d=60d(5a-1)
Что не понятно спрашивай)))
Приложения:

Вас заинтересует
2 года назад
2 года назад
8 лет назад
8 лет назад
10 лет назад
10 лет назад
10 лет назад