• Предмет: Математика
  • Автор: schekinsv
  • Вопрос задан 3 года назад

Пожалуйста очень срочно нужна!
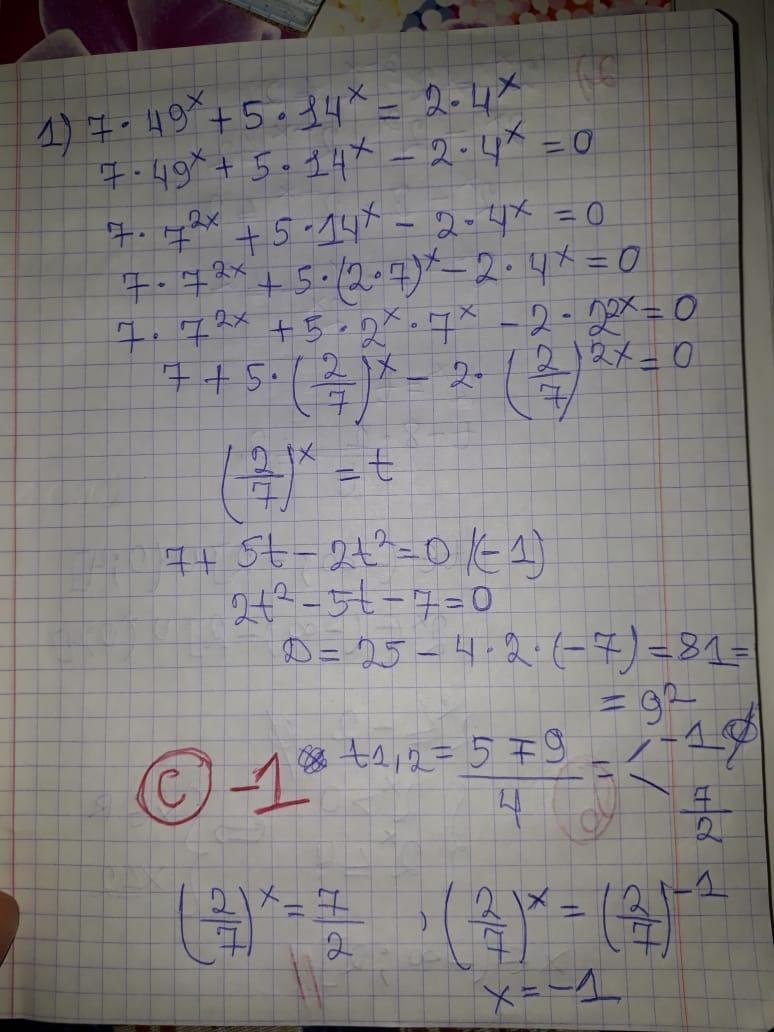
Решите уравнение: 7∙49^x+5∙14^x=2∙4^x
Выберите один ответ:
a. 0,5 b. 1 c. -1 d. -0,5
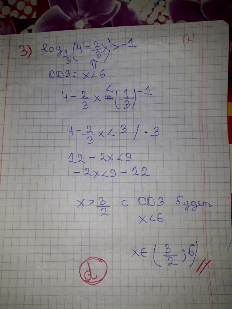
Решите неравенство: 2^x -2^(3-x) ≤2
Выберите один ответ:
a. (2; +∞) b. (-∞; 2] c. (-∞; -1)∪(2; +∞) d. (-∞; -2]∪[0; 4]
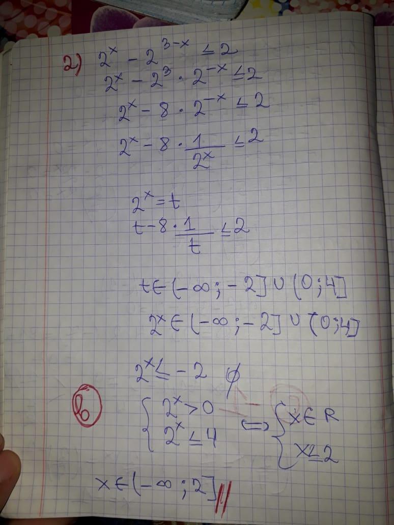
Решите неравенство log(1/3)⁡(4-2/3 x)>-1
Выберите один ответ:
a. (1,5;2 2/3) b. (2/3; 6) c. (-∞;1,5) d. (1,5; 6)
Решите уравнение (0,1x)lg⁡x =1000x. В ответ запишите сумму его корней.
Выберите один ответ:
a. 1000,1 b. 99,1 c. 110 d. 1100

Ответы

Ответ дал: tobi1818
0

Последнее не получилось((

Приложения:

nelia233babenko: помогите с моим заданием пожалуйста!!!!Задание по математике!!!
Вас заинтересует