• Предмет: Математика
  • Автор: jotarokujosama
  • Вопрос задан 3 года назад

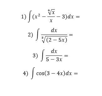
Помогите решить интегралы пожалуйста! Очень нужно! Всё что есть

Приложения:

Ответы

Ответ дал: pushpull
1

Ответ:

Пошаговое объяснение:

на фото

Приложения:

jotarokujosama: Спасибо большое
pushpull: пожалуйста. успехов!
Вас заинтересует