Ответы
Ответ дал:
1
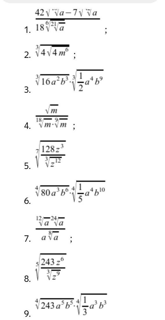
Ответ в приложенном фото )
Тут все кроме первого , там не видно просто
Тут все кроме первого , там не видно просто
Приложения:

Ksyushaha:
Если не видно что то, могу заново сфоткать
Вас заинтересует
2 года назад
2 года назад
2 года назад
2 года назад
7 лет назад
9 лет назад
9 лет назад