• Предмет: Математика
  • Автор: Аноним
  • Вопрос задан 3 года назад

ПОООООЖАААЛУЙСТА ПОМОГИТЕ С МАТЕШЕЙ! С РЕШЕНИЕМ! ДАЮ 20 баллов!​

Приложения:

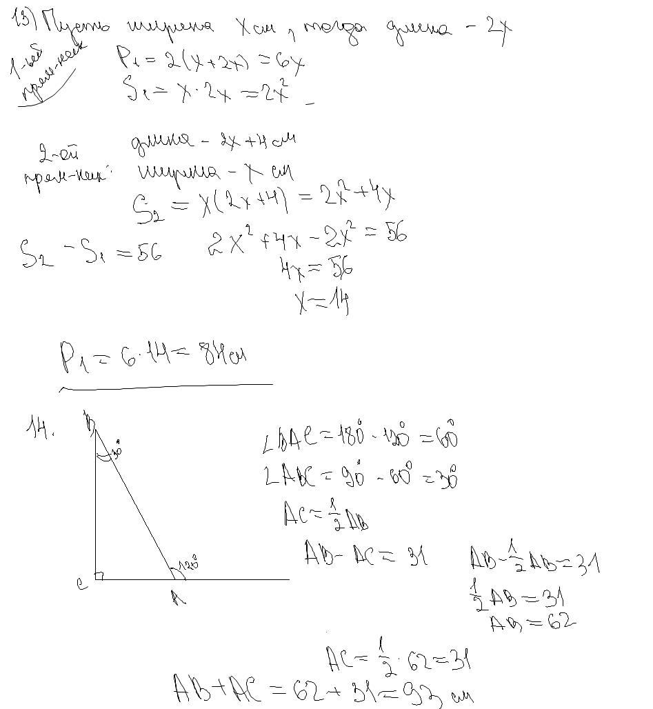
jekadva: 13) C) 84см
Аноним: решение?

Ответы

Ответ дал: kalinintalin
1

Ответ:

13-с

14-d

Пошаговое объяснение:

Приложения:

Аноним: СПАСИБО БОЛЬШОЕ!!!!❤️❤️❤️❤️❤️❤️❤️❤️❤️❤️
Вас заинтересует