Ответы
Ответ дал:
1
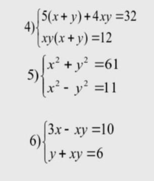
Решила первую систему. Перепроверьте. Я человек и могу ошибаться.
Остальные попробуйте сами решить.
Будут вопросы, спрашивайте.
Удачи:)
Приложения:


Вас заинтересует
2 года назад
2 года назад
2 года назад
7 лет назад