• Предмет: Алгебра
  • Автор: Yana51345
  • Вопрос задан 3 года назад

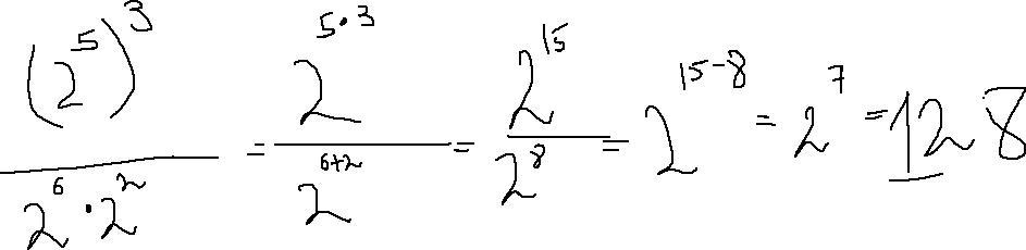
Найдите значение выражения:
(2^5)^3/2^6 * 2^2

Ответы

Ответ дал: NadyaCat2020
0

Решение на картинке!

Ответ:

128.

Приложения:
Вас заинтересует