Ответы
Ответ дал:
0
Ответ:
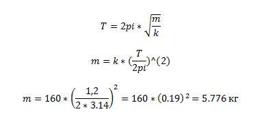
5,776 кг
Объяснения:
Дано: T=1,2 с; k=160 H/м
Найти: m
Решение:
Приложения:

Вас заинтересует
2 года назад
2 года назад
2 года назад
7 лет назад
7 лет назад
9 лет назад
9 лет назад