• Предмет: Математика
  • Автор: hisa2002
  • Вопрос задан 3 года назад

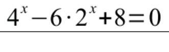
Решите показательное уравнение

Приложения:

Ответы

Ответ дал: MihaelIvanov
0

Ответ:

x1=1 x2=2

Пошаговое объяснение:

(2^2)^x-6*2^x+8=0

(2^x)^2-6*2^x+8=0

t^2-6t+8=0

D=36-32=4 √D=2

t1=(6-2)/2=2

t2=(6+2)/2=4

2^x=2

2^x=4

x=1

x=2

Ответ дал: miron2077
0

4ˣ-6*2ˣ+8=0

(2²)ˣ-6*2ˣ+8=0

(2ˣ)²-6*2ˣ+8=0

обозначим 2ˣ=у

у²-6у+8=0      D=36-32=2²

у₁=(6+2)/2=4

у₂=(6-2)/2=2

2ˣ=4

2ˣ=2²

х₁=2

2ˣ=2

х₂=1

Вас заинтересует