• Предмет: Алгебра
  • Автор: asanbekova04
  • Вопрос задан 3 года назад

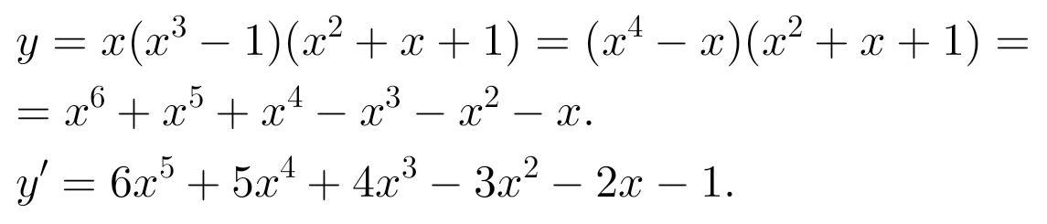
найти производную функции у=x(x3-1)(x2+x+1)​

Ответы

Ответ дал: Kierra
2

Раскрываете скобки и затем находите производную.

Приложения:

Аноним: Kierra
Kierra: ??
Аноним: ты согласна дружить?
Kierra: мы дружим)
Аноним: f ye lf
Аноним: а ну да
Аноним: хочешь мем?
Kierra: спамить в комментариях вообще-то запрещено, но ладно)
Аноним: история не моя)однажды мой брат встал ночью и начал пихать подушку в шкаф я спросила что он делает и он ответил она меня укусила:)
Kierra: Именно тебя или его?) Вот поэтому всегда лучше спать без подушек)
Вас заинтересует