• Предмет: Алгебра
  • Автор: xodakova2003
  • Вопрос задан 3 года назад

!!!!!!!Пожалуйста помогите!!!!
Вычислите производные
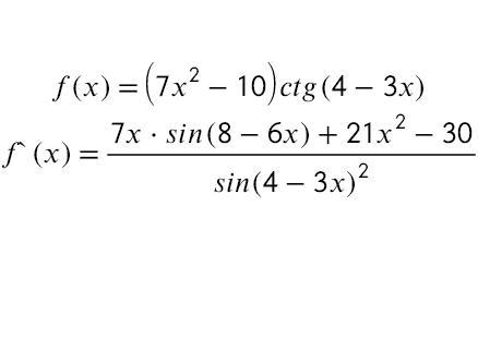
f(x)=(7x2-10)×ctg(4-3x)

Ответы

Ответ дал: Decoration
0

Ответ:

Файл :

Объяснение:

Приложения:
Вас заинтересует