• Предмет: Математика
  • Автор: terrowlol
  • Вопрос задан 3 года назад

СРОЧНО СРОЧНО СРОЧНО СРОЧНО СРОЧНО СРОЧНО СРОЧНО СРОЧНО

Приложения:

Ответы

Ответ дал: lakOR555
0

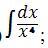
Х^-4dx = x^-3/-3 + C = -1/(3x³) + C

Вас заинтересует